RC-HEOM Hybrid Method for Non-Perturbative Open System Dynamics

Avatar
Poster
Voice is AI-generated
Connected to paperThis paper is a preprint and has not been certified by peer review

RC-HEOM Hybrid Method for Non-Perturbative Open System Dynamics

Authors

Po-Rong Lai, Jhen-Dong Lin, Yi-Te Huang, Po-Chen Kuo, Neill Lambert, Yueh-Nan Chen

Abstract

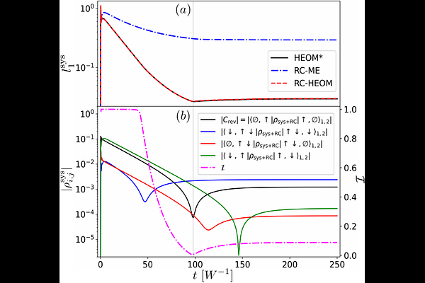
The Hierarchical equations of motion (HEOM) method is an important non-perturbative technique, allowing numerically exact treatment of open quantum systems with strong coupling and non-Markovian memory. However, its encoding of bath memory into auxiliary density operators often limits direct access to detailed bath information. In contrast, the reaction-coordinate (RC) mapping allows direct and transparent access to the dominant collective bath mode, but its perturbative and often Markovian treatment of the residual bath restricts its reliability. In this work, we introduce RC-HEOM, a hybrid method that unifies the strengths of both approaches by combining RC mapping with a fully non-perturbative HEOM description of the residual bath. RC-HEOM simultaneously retains exact non-Markovian memory and access to the RC mode, which enables analysis of system-RC information. Applying this method to the Anderson impurity models, we directly track the emergence of the Kondo singlet from the growth of the Kondo resonance and uncover a nontrivial RC-mediated coherence revival. These results demonstrate that RC-HEOM is a promising method for characterizing open quantum systems in regimes that are difficult to access with conventional master-equation methods.

Follow Us on

0 comments

Add comment