A comparative dataset on population genetics, traits, and distributions for nineteen Caribbean tree species
A comparative dataset on population genetics, traits, and distributions for nineteen Caribbean tree species
Moro, L.; Milesi, P.; Cabrera Garcia, B.; Clase, T.; Borras Sayas, F.; Gibney, E.; Pina, Y.; Uriarte, M.; Muscarella, R.
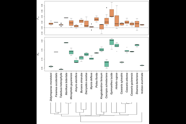
AbstractAlthough genetic diversity is a fundamental component of biodiversity, we lack data for a majority of species, particularly in biodiversity hotspots such as tropical forests. We present a comparative genetic dataset of 19 tropical tree species (including one palm) from the Caribbean island of Puerto Rico and neighboring islands (Hispanola and the US Virgin Islands). Using a reduced-representation sequencing technique (SLAF-seq), we identified species-specific single-nucleotide polymorphism (SNP) datasets with 24,413 to 433,637 high-quality SNPs per species. The focal species represent a range of life-history and climate associations, which may be relevant to their genetic structure. Therefore, we also include complementary information on species functional traits (wood density, leaf thickness, specific leaf area, maximum height, and seed dry mass), as well as geographic distributions and climatic associations from species distribution models.