Influence of different pharmaceuticals on the germination and early development of two leafy vegetable species

Avatar
Poster
Voice is AI-generated
Connected to paperThis paper is a preprint and has not been certified by peer review

Influence of different pharmaceuticals on the germination and early development of two leafy vegetable species

Authors

Brokate, L.; Mueller, C.

Abstract

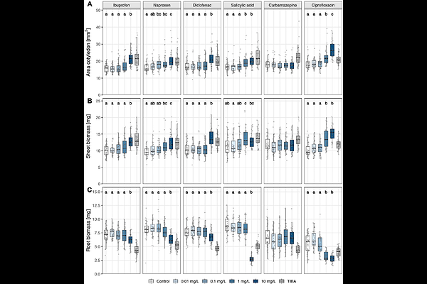
Pharmaceuticals are becoming increasingly prevalent in the environment, yet their effects on terrestrial plants, especially during early development, are poorly investigated. In this context, leafy vegetables are of particular interest because they tend to accumulate more pharmaceuticals than other crops. This study investigated the impacts of six pharmaceuticals of different classes commonly detected in soils and water on seed germination and early seedling growth of the leafy vegetables bok choy (Brassica rapa subsp. chinensis) and spinach (Spinacia oleracea) under controlled conditions. Seeds were exposed to different concentrations of the non-steroidal anti-inflammatory drugs (NSAIDs) ibuprofen, naproxen, diclofenac, or salicylic acid, the antiepileptic drug carbamazepine, or the antibiotic ciprofloxacin, and germination rates, root and shoot lengths, biomass allocation, cotyledon development, and lateral root formation (in bok choy only) measured after seven days. While germination was unaffected, early development parameters showed species-specific responses. In bok choy, high concentrations of NSAIDs and ciprofloxacin led to an increased shoot biomass and cotyledon area but a reduced primary root growth and lateral root formation, while carbamazepine had no effect. The contrasting effects on aboveground versus belowground organs of different pharmaceuticals suggest an interference with hormonal regulation, especially auxin. Spinach showed less responses than bok choy, with root length being rather increased by some NSAIDs. These results indicate that sensitivity to pharmaceuticals begins after germination and depends on both the chemical properties of the compound and the plant species. The study highlights the value of systematic comparative testing of pharmaceuticals across plant species.

Follow Us on

0 comments

Add comment